Tourism Route Optimization for Portland, Oregon

Description

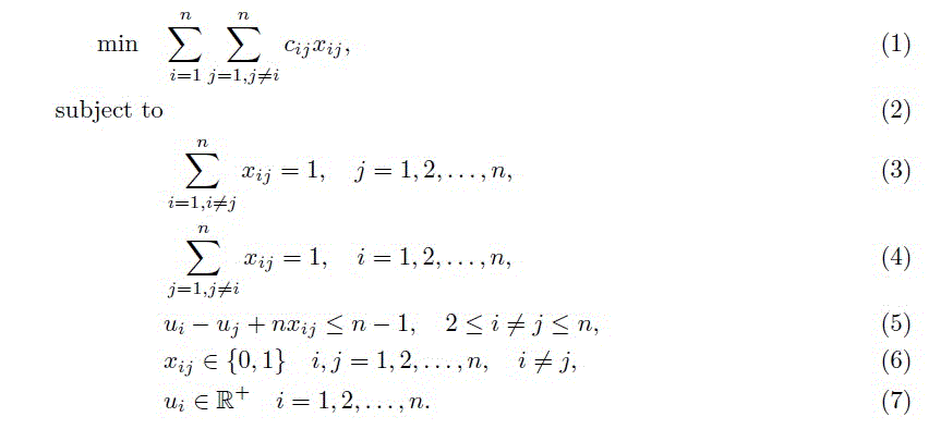
In the 21st century’s world of technology, finding unique places to travel should be easy. However, it is often a hassle to find enough clear information to make a simple itinerary in these desirable destinations. In addition to this, the pandemic has diminished traveling/tourism tremendously, along with numerous other reasons throughout the world. However, that is all about to change in Portland, Oregon, United States. Tourbella Travel Company, located in Portland, Oregon, has initiated a collaboration with our consulting firm to design an optimal method for traveling and touring itineraries in Portland. There will be over 51 locations available for the traveler or tourist to evaluate the best experience. Tourism Route Optimization for a Portland, Oregon Itinerary will consist of the traveler or tourist’s specific requests and information such as the financial requirements, activities, timeframe, distance, and more to model and formulate an ideal itinerary fit for any type of group, with any type of budget. The itinerary uses features from RStudio and Shiny to evaluate specific variables, constraints, and objectives to define the ideal outcome and represent those outcomes simply and effectively to the traveler or tourist. Determining the optimal itinerary uses linear (continuous) and nonlinear (non-continuous) functions, summations between upper and lower bounds with certain variables to find the minimum and maximum information, all being subject to certain constraints. The traveler or tourist will be able to evaluate how to best spend their time, money, and experiences all in a safe, efficient, and straightforward manner, saving them time to have fun on their trip instead. Furthermore, by integrating research, applications such as RStudio & Shiny, planning, mapping and scheduling into one single platform, this allows our collaborative company to create revenue and opportunity by increasing demand for local businesses, thereby improving tourist satisfaction by providing a link to Portland’s historical destinations, activities within, and attractions sure to capture anyone’s interests.